- 21.02.2022, 10:05:59
- /
- OTS0042
willhaben Gebrauchtwagen-Analyse: Nie war er so wertvoll wie heute

Detaillierter Wert-Check besonders beliebter Fahrzeugmodelle im zeitlichen Verlauf
Audi A3 (+ 662 €), Ford Focus (+ 1.489 €) oder Skoda Octavia (+ 1.942 €): Preissteigerung seit Pandemiebeginn - trotz laufender Fahrzeugnutzung
Die Automobilindustrie hat seit mittlerweile zwei Jahren mit einem Mangel an Computerchips zu kämpfen, die für die Herstellung von Fahrzeugen benötigt werden. Dadurch ist die rasche Verfügbarkeit von Neuwagen zur Herausforderung geworden und die Zahl zusätzlich nachfragender KäuferInnen am Gebrauchtwagenmarkt noch einmal rasant angestiegen. Dazu kommt, coronabedingt, der verstärkte Wunsch nach einem eigenen Fahrzeug und dadurch ein genereller Anstieg der potentiellen Autosuchenden. Beeinflusst wurde damit insbesondere die Preisentwicklung der Gebrauchtwagen. willhaben hat sich in diesem Zusammenhang die 2017 erstmalig zugelassenen Gebrauchtwagen der beliebtesten Modelle angesehen und analysiert, wie sich die Preise seit Jänner 2020 verändert haben.
Österreichweit haben sich die Preise für gebrauchte PKW seit Anfang 2020 besonders vorteilhaft für GebrauchtwagenverkäuferInnen entwickelt, wie Michael Gawanda, Head of Auto & Motor bei willhaben berichtet: „Wer jetzt sein Auto verkaufen möchte, dem bietet die aktuelle Situation eine optimale Ausgangslage. Am gesamten Markt herrscht Verknappung, weshalb VerkäuferInnen die Preise für ihre Gebrauchten sehr selbstbewusst ansetzen können. Wir beobachten aktuell eine wohl einzigartige Entwicklung: Wer sich zu Pandemiebeginn gegen einen Autoverkauf entschieden hat, sein Auto also bis heute weiter gefahren ist, hat nun ein Fahrzeug vor der Haustüre stehen, das naturgemäß älter ist, deutlich mehr Kilometer absolviert hat und in sehr vielen Fällen trotzdem über einen höheren Verkaufswert verfügt, als noch Anfang 2020.”
Von Ford über Audi bis Mercedes: beliebte Modelle im Vergleich
Ein Blick auf die von willhaben gesammelten Daten unterstreicht diese eindrucksvolle Entwicklung: Ein Ford Focus mit dem Baujahr 2017 weist heuer, mit rund 20.000 km mehr auf dem Tacho, einen um 11,3 Prozent höheren durchschnittlichen Angebotspreis auf, als noch vor zwei Jahren mit einem geringeren Kilometerstand. Dies entspricht einem Wertzuwachs von rund 1.500 Euro. Auch ein gebrauchter Audi A3 hat mit ähnlicher Betrachtung (circa 30.000 km mehr Laufleistung) seit Pandemiebeginn um 3,2 Prozent beziehungsweise mehr als 650 Euro im Preis zugelegt. In absoluten Zahlen verzeichnete der Skoda Octavia mit fast 2.000 Euro die höchste Steigerung.
Relativ konstant blieben die Preise eines Ford Fiesta (+ 1,9 Prozent) und die der BMW 3er Reihe (-1,5 Prozent). „Selbst Modelle, die im Rahmen dieser Auswertung leicht im Preis gesunken sind, verzeichneten, trotz der deutlich höheren Laufleistung, lediglich einen sehr geringen Wertverlust. So hat ein Seat Leon um 4,7 Prozent beziehungsweise rund 750 Euro und eine Mercedes Benz C-Klasse um 5,7 Prozent beziehungsweise etwa 1.600 Euro verloren. Wird bedacht, dass es sich dabei um mittlerweile zwei Jahre ältere Wagen mit deutlich mehr Kilometern handelt, ergeben sich quer über viele weitverbreitete und beliebte Modelle sehr außergewöhnliche Werte”, so Gawanda.
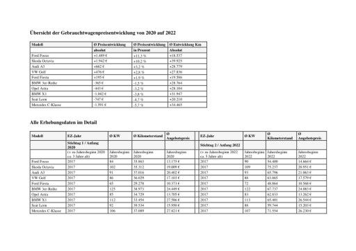
Übersicht der Gebrauchtwagenpreisentwicklung von 2020 auf 2022
Modell Ø Preisentwicklung absolut Ø Preisentwicklung in Prozent
Ford Focus +1.489 € +11,3 %
Skoda Octavia +1.942 € +10,2 %
Audi A3 +662 € +3,2 %
VW Golf +476 € +2,8 %
Ford Fiesta +195 € +1,9 %
BMW 3er-Reihe -365 € -1,5 %
Opel Astra -443 € -3,2 %
BMW X1 -1.042 € -3,8 %
Seat Leon -747 € -4,7 %
Mercedes C-Klasse -1.591 € -5,7 %
Alle Erhebungsdaten im Detail
* siehe Anhang
Was für einen bestmöglichen Gebrauchtwagenverkauf zu beachten ist
Wer sich in der aktuell sehr guten Ausgangsposition von seinem Gebrauchtwagen trennen möchte, bekommt von Michael Gawanda folgende Tipps ans Herz gelegt: „Eine grundlegende Frage, die sich VerkäuferInnen stellen sollten, ist die, ob sie ihren Wagen lieber als Privatperson oder über einen Händler veräußern möchten. Habe ich keine Verhandlungserfahrung, eventuell auch Zeitdruck und daraus resultierend die Bereitschaft, vielleicht einen leicht geringeren Verkaufspreis zu erzielen, sollte in jedem Fall auch der Verkauf an einen Händler geprüft werden. Wer Zeit hat, gut verhandelt und den besten Verkaufspreis erzielen möchte, ist beim Privatverkauf oftmals besser aufgehoben. Zumeist ist es für einen optimalen Marktüberblick auch denkbar, beide Varianten parallel auszuprobieren”, umreißt Gawanda.
„Wichtig ist es jedenfalls, das Fahrzeug bestmöglich, wahrheitsgemäß und gepflegt zu präsentieren, vielleicht auch kleinere Reparaturen noch vorzunehmen beziehungsweise vornehmen zu lassen. Deshalb sollten sich VerkäuferInnen vor der Erstellung von Fotos ausreichend Zeit für eine gründliche Außenwäsche und Innenreinigung nehmen oder das Investment für eine professionelle Fahrzeugaufbereitung in Kauf nehmen. Im Zuge der Aufnahmen sollte auch mit Detailfotos sowie einer sehr genauen Beschreibung des Fahrzeugs nicht gespart werden. Dabei ist es naturgemäß ratsam, die positiven Seiten des Gebrauchten besonders in den Mittelpunkt zu stellen, aber auch sehr offen mit etwaigen Mängeln umzugehen. Je umfangreicher diverse Fahrzeugdokumente - vom Serviceheft bis zum jüngsten Pickerl-Prüfbericht - potentiellen KäuferInnen zum Nachweis der Pflege und des Zustandes des Fahrzeugs gezeigt werden können, desto besser. Planen Sie ausreichend Zeit für die Besichtigungen ein, überlegen Sie vorab, wieviel Verhandlungsspielraum Sie geben wollen oder teilen sie schon bei der Anfrage mit, dass der Preis nicht verhandelbar ist. Im Fahrzeugbereich fachkundige Familienmitglieder oder Bekannte zum Besichtigungstermin hinzuzuziehen, die bei etwaigen technischen Fragen unterstützen, kann ebenso die Transparenz erhöhen und die Verkaufschancen weiter verbessern.“
Über die Auswertung
Für einen möglichst repräsentativen Vergleich wurden im Zuge der Auswertung ausschließlich Fahrzeuge mit einer Erstzulassung aus dem Jahr 2017 herangezogen. Die Ausgangslage für die Modellauswahl bildeten in Österreich aktuell sehr beliebte Fahrzeuge. Um statistische Ausreißer zu minimieren, wurde für die Auswertung eine KW-Obergrenze von 140 angenommen.
Die Daten in den Tabellen wurden für folgende Stichtage erhoben:
1. Stichtag der Auswertung: Jahresbeginn 2020 (= Autos ca. 3 Jahre alt) und maximal 60.000 km Laufleistung bzw. maximal 140 KW
2. Stichtag der Auswertung: Jahresbeginn 2022 (= Autos ca. 5 Jahre alt) und maximal 100.000 km Laufleistung bzw. maximal 140 KW
Rückfragen & Kontakt
Andreas Pucher
PR Manager / willhaben
0699 1303 1518
presse@willhaben.at
OTS-ORIGINALTEXT PRESSEAUSSENDUNG UNTER AUSSCHLIESSLICHER INHALTLICHER VERANTWORTUNG DES AUSSENDERS - WWW.OTS.AT | WLL






