- 28.06.2021, 09:51:44
- /
- OTS0033
FPÖ-Leinfellner: „Krankenversicherung für Asylwerber kostete 110 Millionen Euro!“
Anfragebeantwortung offenbart horrende Krankenkassenbeiträge für Asylwerber aus aller Herren Länder; in der Steiermark fielen in den vergangenen drei Jahren 12,2 Millionen Euro an.
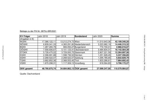
Nach dem Steiermärkischen Grundversorgungsgesetz ist das Land Steiermark bekanntlich zur Gewährleistung der Krankenversorgung von grundversorgten Personen durch Bezahlung der Krankenversicherungsbeiträge nach dem ASVG verantwortlich. Ein Teil der anfallenden Kosten wird vom Bund refundiert, dennoch kostet die Krankenversicherung für Asylwerber der Steiermark jährlich Millionen Euro. Laut einer aktuellen Anfragebeantwortung durch Bundesminister Mückstein fielen in den Jahren 2018, 2019 und 2020 bundesweit insgesamt 110 Millionen Euro an Gesamtkosten an (siehe Anhang). In der Grünen Mark schlugen in diesem Zeitraum 12,2 Millionen Euro an Krankenkassenbeiträgen für Asylwerber zu Buche. „Die Anfragebeantwortung offenbart, dass die Massenmigration im Rahmen der sogenannten Flüchtlingswelle im Jahr 2015 auch Jahre später noch massive Auswirkungen auf das Bundes- wie das Landesbudget hat. Die dadurch entstandenen finanzpolitischen Negativfolgen wird Österreich und vor allem auch die Steiermark noch Jahre belasten. Der nun drohende Anstieg des Asyldrucks könnte für unser Versicherungssystem wieder massive Mehrkosten bedeuten, die abermals der heimische Leistungsträger zu tragen hätte. Aus freiheitlicher Sicht braucht es deshalb eine restriktive Asyl- und Migrationspolitik sowie einen rigorosen Grenzschutz“, so der steirische Bundesrat Markus Leinfellner, der auch darauf verweist, dass Asylwerber zwar medizinische Grundversorgungsleistungen erhalten sollten, aber der volle Leistungskatalog jedenfalls den Österreichern vorbehalten sein muss.
Rückfragen & Kontakt
FPÖ Steiermark | Pressedienst
Conrad-von-Hötzendorf-Straße 58
8010 Graz
Tel.: + 43 (0) 316 877 5304
Email: [email protected]
Internet: http://www.fpoe-stmk.at
OTS-ORIGINALTEXT PRESSEAUSSENDUNG UNTER AUSSCHLIESSLICHER INHALTLICHER VERANTWORTUNG DES AUSSENDERS - WWW.OTS.AT | FSK









