- 20.04.2021, 09:37:16
- /
- OTS0051
willhaben-Preischeck: Das kosten die beliebtesten Autos derzeit auf willhaben

Der Auto & Motor-Bereich legt einen Gang zu: Mehr als 50 Millionen Visits im Q1/2021
Elektroauto-Boom: Angebot an Hybrid-/Elektroautos hat sich auf willhaben mehr als verdoppelt
Trotz Pandemie verzeichnete der Auto & Motor-Bereich von willhaben im ersten Quartal 2021 mit in Summe mehr als 50 Millionen Visits Rekordzugriffe. Michael Gawanda, Head of Auto & Motor bei willhaben, zum Auto-Trend: „So ein starkes erstes Quartal hatten wir noch nie. Neben den Traffic-Zahlen bestätigen auch all unsere regelmäßigen Erhebungen: Nach einem Jahr Pandemie, stehen Autos und die individuelle Mobilität weiterhin hoch im Kurs! Besonders stark wächst auf willhaben gerade der Bereich der E-Autos: Hier verdoppelte sich in Q1 das Angebot an rein elektrischen PKW- als auch Hybrid-Fahrzeugen gegenüber dem Vorjahr.“
Preis-Check der 15 gängigsten PKW-Modelle
willhaben hat sich auch die Preise der beliebtesten Gebrauchtwagen der Österreicher angesehen und die aktuellen Durchschnittsangebotspreise der gängigsten Autos aufgelistet. Insgesamt wurden 15 Modelle unterschiedlichster Marken genauer untersucht.
E-Autos (auch) auf willhaben sehr beliebt
Elektroautos sind generell im Vormarsch: Allein im März 2021 gab es laut Statistik Austria unter allen PKW-Neufahrzeugen für das Tesla Model 3 die meisten Neuzulassungen.[1] Auch bei Gebrauchtwagen gab es eine Steigerung der Zulassung von benzinfreien PKWs von knapp 130 % [2]. willhaben hat sich auch diesen Trend genauer angesehen: So sind bereits im ersten Quartal in Summe mehr als 15.000 Anzeigen mit rein elektrischen bzw. hybrid-betriebenen Autos online gegangen. Besonders die Bundesländer Oberösterreich (hier war Renault Zoe das am häufigsten angebotene Modell), Niederösterreich (BMW i3) und die Steiermark (Renault Zoe) haben hier die Nase vorne. Elektroautos auf willhaben erhielten im ersten Quartal 2021 durchschnittlich zudem rund doppelt soviele Kauf-Anfragen als vergleichbare Benzin- oder Dieselmodelle.
Die Top 5 Elektroautos auf willhaben (Anzahl an Angeboten im ersten Quartal 2021 auf willhaben)
- Renault Zoe
- BMW i3
- Hyundai Kona
- Tesla Model S
- Nissan Leaf
Die E-Autos im Preisvergleich
Das höchstpreisige Elektroauto unter den E-Fahrzeugen ist derzeit der Audi e-tron. Mit einer Erstzulassung 2021 und einem Kilometerstand bis 10.000 muss für dieses Modell mit im Durchschnitt 94.000 € gerechnet werden. Wer auf das Modell des Vorjahres setzt, fährt wesentlich günstiger. Ein Audi e-tron mit Erstzulassungsjahr 2020 ist mit bis zu 10.000 zurückgelegten Kilometern um durchschnittlich 83.000 € zu haben.
Deutlich günstiger gibt es den Renault Zoe: Mit einer Erstzulassung in 2021 und einem Kilometerstand von maximal 10.000 wird dieser um durchschnittlich circa 26.000 € angeboten. Mit einer Erstzulassung in 2019 spart man durchschnittlich etwa 6.000 € beim selben Tachostand.
Der Tesla Model 3 mit Erstzulassung in 2020 und mit bis zu 10.000 Kilometer wird durchschnittlich um 49.000 € auf willhaben angeboten. Im Vergleich zur Version mit Erstzulassungsjahr 2019 ist hier keine bemerkenswerte Preisreduktion zu beobachten.
Die günstigsten und teuersten SUV auf willhaben
VW zählt zu den beliebtesten Automarken in Österreich, der bekannte Autohersteller ist auch in diesem Jahr unangefochtene Nummer eins. So wurden laut Statistik Austria allein im Februar 2021 14.507 VW-Gebrauchtwagen zugelassen. Im SUV-Segment ist der Tiguan (2021) mit bis zu 10.000 Kilometer für rund 42.000 € zu erwerben, der etwas kompakterer T-Roc (2020) mit bis zu 10.000 Kilometer wird etwas günstiger für rund 33.500 € angeboten. Im Vergleich dazu wird die GLC-Klasse (2021) vom deutschen Hersteller Mercedes-Benz für circa 68.000 € angeboten.
Das günstigste Auto in der Auswertung: Der VW Polo
Der VW Polo macht das Rennen als günstigstes Lieblingsauto der Österreicher. Der vergleichsweise preiswerte PKW eignet sich damit auch hervorragend als Erstauto. Die willhaben-Analyse hat ergeben, dass man für dieses gängige Modell mit Erstzulassungsjahr 2019 mit bis zu 10.000 Kilometer am Tacho etwa 14.000 € hinlegen muss. Die Preisspanne reicht hier je nach Modell und Kilometerstand bis circa 20.000 €.
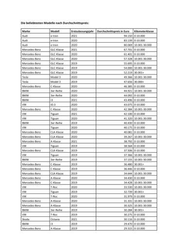
Die beliebtesten Modelle nach Durchschnittspreis:
* siehe PDF im Anhang
Über die Auswertung
Für die willhaben-Durchschnittspreis-Liste wurden alle im ersten Quartal 2021 aktiven Gebrauchtwagen-Anzeigen der jeweiligen Modelle des willhaben Auto & Motor-Bereichs, mit Ausnahme von Unfallwagen, ausgewertet.
[1] https://www.ots.at/redirect/pic.statistik
[2] https://www.ots.at/redirect/pic.statistik1
Rückfragen & Kontakt
Andreas Pucher
PR Manager / willhaben
0699 1303 1518
[email protected]
Thomas Reiter
Reiter PR
0676 66 88 611
[email protected]
OTS-ORIGINALTEXT PRESSEAUSSENDUNG UNTER AUSSCHLIESSLICHER INHALTLICHER VERANTWORTUNG DES AUSSENDERS - WWW.OTS.AT | WLL







